CAS Number 6674-78-5 Tetrahydrate, 142-72-3 Anhydrous, Magnesium Acetate Tetrahydrate Anhydrous BP Ph Eur Analytical Reagent Grade Manufacturers Exporters

Home ------ Contact Anmol Chemicals Industries

Chemical Exporter Air Cargo JarPacked Chemicals Pail for Chemicals Carboys Jumbo packing

Magnesium Acetate Tetrahydrate Manufacturers Exporters
CAS Number 6674-78-5 Tetrahydrate, 142-72-3 Anhydrous, Magnesium Acetate Tetrahydrate Anhydrous Manufacturer Exporter

For Properties Specifications of Magnesium Acetate Tetrahydrate Anhydrous Click Properties, Specifications of Magnesium Acetate Tetrahydrate Anhydrous Manufacturer.

For Uses of Magnesium Acetate Tetrahydrate Click Uses of Magnesium Acetate Tetrahydrate Manufacturer.

For For SDS MSDS Sheet of Magnesium Acetate Tetrahydrate Click SDS Safety Data Sheet MSDS Sheet of Magnesium Acetate Tetrahydrate Manufacturer.

The Properties and Specifications of Magnesium Acetate Tetrahydrate:

Magnesium Acetate Tetrahydrate BP Ph Eur Grade Specifications
Mg(CH3COO)2-4H2O -- 214.5 -- CAS 16674-78-5

DEFINITION
Content: 98.0 per cent to 101.0 per cent of magnesium acetate (anhydrous substance).

CHARACTERS
Appearance: Colourless crystals or white, crystalline powder.
Solubility: Freely soluble in water and in alcohol.

IDENTIFICATION
A. Dissolve about 100 mg in 2 ml of water. Add 1 ml of dilute ammonia and heat. A white precipitate is formed that dissolves slowly on addition of 5 ml of ammonium chloride solution. Add 1 ml of disodium hydrogen phosphate solution. A white crystalline precipitate is formed.
B. It gives reaction of acetates.

TESTS
pH: 7.5 to 8.5.
Dissolve 2.5 g in carbon dioxide-free water and dilute to 50 ml with the same solvent.
Chlorides: Maximum 330 ppm.
Nitrates: Maximum 3 ppm.
Sulphates: Maximum 600 ppm.
Aluminium: Maximum 1 ppm.
Calcium: Maximum 100 ppm.
Potassium: Maximum 0.1 per cent.
Sodium: Maximum 0.5 per cent.
Heavy metals: Maximum 40 ppm.
Readily oxidizable substances: Dissolve 2.0 g in 100 ml of boiling water, add 6 ml of a 150 g/l solution of sulphuric acid and 0.3 ml of 0.02 M potassium permanganate. Mix and boil gently for 5 min. The pink colour is not completely discharged.
Water: 33.0 per cent to 35.0 per cent, determined on 0.100 g.


Magnesium Acetate Tetrahydrate Analytical Reagent Grade Specifications
(CH3COO)2Mg-4H2O --- Formula Weight 214.46 --- CAS Number 16674-78-5

REQUIREMENTS
Assay: 98.0-102.0% (CH3CO2)2Mg . 4H2O

MAXIMUM ALLOWABLE
Insoluble matter: 0.005%
Chloride (Cl): 0.001%
Nitrogen compounds (as N): 0.001%
Sulfate (SO4): 0.005%
Barium (Ba): 0.001%
Calcium (Ca): 0.01%
Manganese (Mn): 0.001%
Potassium (K): 0.005%
Sodium (Na): 0.005%
Strontium (Sr): 0.005%
Heavy metals (as Pb): 5 ppm
Iron (Fe): 5 ppm.


The Uses of Magnesium Acetate Tetrahydrate:
Magnesium acetate tetrahydrate is used as a source of water and electrolytes when combined with dextrose and other salts to form intravenous infusions. This injection can be used for patients with carbohydrate or magnesium deficiency, insulin hypoglycemia, constipation or hypertension during pregnancy. It is used in the dyeing of ceramic tiles and textiles. It is used as a catalyst in the polyester film production. Magnesium acetate is used in the manufacture of rayon fiber for cigarette filters, and as a fixative for dyes in textile printing.


The MSDS-SDS Hazard Statement of Magnesium Acetate Tetrahydrate:

Magnesium Acetate SDS, Safety Data Sheet
MSDS Sheet, Material Safety Data Sheet

1. Product Identification

Product Name & Other Names: Magnesium acetate tetrahydrate or magnesium diacetate or Magnesium acetate, 4-hydrate, powder or acetic acid, magnesium salt or Cromosan.
CAS No.: 142-72-3 (Anhydrous); 16674-78-5 (Tetrahydrate)
EINECS EC Code: 205-554-9
Molecular Weight:
 214.4
Chemical Formula: (CH3COO)2Mg.4H2O
Relevant uses and uses advised against (if any): Industrial Manufacturing.

2. Hazards Identification

GHS, Globally Harmonized System Classification in accordance with 29 CFR 1910
Classification according to Regulation (EC) No 1272/2008

Not a hazardous substance or mixture according to Regulation (EC) No. 1272/2008.
This substance is not classified as dangerous according to Directive 67/548/EEC.

Labeling according to GHS & Regulation (EC) No 1272/2008

GHS Label Elements
NONE

Signal Word: None

Precautionary statements:
P261: Avoid breathing dust/fume/gas/mist/vapors/spray.
P262: Do not get in eyes, on skin, or on clothing.
P281: Use personal protective equipment as required.
P302+P352: IF ON SKIN: Wash with plenty of soap and water.
P304+P340: IF INHALED: Remove victim to fresh air and keep at rest in a position comfortable for breathing.
P305+P351+P338: IF IN EYES: Rinse cautiously with water for several minutes. Remove contact lenses, if present and easy to do. Continue rinsing.
P337+313: If eye irritation persists get medical advice/attention.

3. Composition/Information on Ingredients

Product Name & Other Names: Magnesium acetate tetrahydrate or magnesium diacetate or Magnesium acetate, 4-hydrate, powder or acetic acid, magnesium salt or Cromosan.
CAS No.: 142-72-3 (Anhydrous); 16674-78-5 (Tetrahydrate)
EINECS EC Code: 205-554-9

4. First Aid Measures

Always seek medical attention after first aid measures are provided.

Inhalation: Remove from exposure and move to fresh air immediately. If not breathing, give artificial respiration. If breathing is difficult, give oxygen. Get medical aid.
Ingestion: If large amounts were swallowed, give water to drink and get medical advice.
Skin Contact: Wash exposed area with soap and water. Get medical advice if irritation develops.
Eye Contact: Flush eyes with plenty of water for at least 15 minutes, occasionally lifting the upper and lower eyelids. Get medical aid.

5. Fire Fighting Measures

Fire: Magnesium Acetate is not considered to be a fire hazard.
Fire Extinguishing Media: Use any means suitable for extinguishing surrounding fire.
Hazardous Combustion Products: Carbon monoxide (CO) Carbon dioxide (CO2) Magnesium oxides.
Special Information: In the event of a fire, wear full protective clothing and NIOSH-approved self-contained breathing apparatus with full face piece operated in the pressure demand or other positive pressure mode. At high temperatures under fire conditions, it may produce toxic or irritating fumes. Fire-extinguishing work is done from the windward and the suitable fire-extinguishing method according to the surrounding situation is used.

6. Accidental Release Measures

Personal precautions, protective equipment, and emergency procedures: Avoid breathing dust/fumes/gas/mist/vapors/spray. Use individual protective equipment (waterproof boots, suitable protective clothing, safety glasses, etc.). Do not approach facing the wind.
Environmental precautions: Do not let the product enter drains, soil, or water sources.
Methods and materials used for containment Cleanup procedures and Storage: Do not inhale dust, vapors, mist, or gas. Avoid dust formation. Contain spilled material. Cover with an inert, non-combustible absorbent material, (e.g. sand, earth, diatomaceous earth, vermiculite). Use a shovel to put the material into a convenient waste disposal container.

7. Handling and Storage

Precautions for safe handling: Apply according to good manufacturing and industrial hygiene practices. Ensure proper ventilation. In case of insufficient ventilation, wear suitable respiratory equipment. Wash thoroughly after handling. Do not drink, eat, or smoke while handling. Avoid contact with skin, eyes, and clothing. Minimize dust generation. Avoid breathing dust/fumes/gas/mist/vapors/spray. Keep container tightly closed. Avoid ingestion and inhalation. Use individual protective equipment (waterproof boots, suitable protective clothing, safety glasses, etc.).
Conditions for safe storage, including any incompatibilities: Store in cool, dry, and ventilated area away from heat sources and protected from sunlight in tightly closed original container. Keep air contact to a minimum. Store protected from heat, sparks and ignition sources and incompatible materials. Avoid contact with skin and eyes. Avoid inhalation of dust/mist/vapor. Do not store with incompatible materials like strong oxidizing agents.

8. Exposure Controls/Personal Protection

Airborne Exposure Limits: None established.
Ventilation System: A system of local and/or general exhaust is recommended to keep employee exposures as low as possible.
Personal Respirators (NIOSH Approved): For conditions of use where exposure to dust or mist is apparent and engineering controls are not feasible, a particulate respirator (NIOSH type N95 or better filters) may be worn.
Skin Protection: Wear protective gloves and clean body-covering clothing.
Eye Protection: Use chemical safety goggles. Maintain eye wash fountain and quick-drench facilities in work area.
Other Control Measures: Maintain good housekeeping in work area. Handle in accordance with good industrial hygiene and safety practice.

9. Physical and Chemical Properties

Appearance: Magnesium Acetate is white hygroscopic crystals.
Odor: Light smell of acetic acid.
Odor threshold: Not available.
pH: Aqueous solution is almost neutral.
Relative density: about 1.45
Melting Point: 80C (176F).
Initial boiling point and boiling range: Not available.
Flash point: Not available.
Auto-ignition temperature: Not available.
Decomposition temperature: Not available.
Upper/lower flammability or explosive limits: Not available.
Vapor pressure: Not available.
Vapor density: Not available.
Evaporation rate: Not available.
Flammability (solid, gas): Not available.
Partition coefficient: n-octanol/water: Not available.
Solubility: Soluble in water.
Viscosity: Not available.

10. Stability and Reactivity

Stability: Magnesium Acetate is stable under ordinary conditions of use and storage. Very hygroscopic.
Hazardous Decomposition Products: May produce oxides of carbon and the contained metal.
Hazardous Polymerization: Will not occur.
Incompatibilities: Strong oxidizers.
Conditions to Avoid: Moisture and incompatibles.

11. Toxicological Information

No LD50/LC50 information found relating to normal routes of occupational exposure. Investigated as a mutagen.
Carcinogenicity: Not listed as a carcinogen by ACGIH, IARC, NTP, or CA Prop 65.

12. Ecological Information

Toxicity to fish: No information available.
Persistence and Degradability: Unlikely to persist due to water solubility.
Mobility: Likely to be mobile due to water solubility.
Bioaccumulation/ Accumulation: No information available.
Results of PBT and vPvB assessment: No data available for assessment.

13. Disposal Considerations

Whatever cannot be saved for recovery or recycling should be managed in an appropriate and approved waste disposal facility.

14. Transport Information

DOT USA, TDG Canada & ADR/RID Europe: Not controlled.
IMDG/IMO: Not controlled.
IATA/ICAO: Not controlled.

15. Regulatory Information

USA:
SARA 313: Not Listed
California Proposition 65: Not Listed

Section 16 - Additional Information

DISCLAIMER: The information and recommendations set forth herein are presented in good faith and believed correct as of the date hereof. It is compiled from various sources and it is not necessarily all inclusive nor fully adequate in every circumstance. In addition, these suggestions should not be confused with nor followed in violation of applicable laws, regulations, rules or insurance requirements applicable. This MSDS sheet is intended only as a guide to the appropriate precautionary handling of the material by a properly trained person using this product. Individuals receiving the information must exercise their independent judgment in determining its appropriateness for a particular purpose.

Anmol Chemicals Industries Ltd. is an off-shoot of Anmol Chemicals and Anmol Chemicals & Pharmaceuticals, Taloja. It is located in MIDC Taloja and it is manufacturing pharmaceutical grades of API, Excepients, Food grade and Reagent grade chemicals. Anmol Chemicals Industries Pvt. Ltd. is a several decades old group of companies, engaged in manufacturing, supplying, distributing, wholesale supplies for actual users, retail or small pack supplies for research and development chemicals, fine and speciality chemicals, pharmaceutical excipients, mineral fortifiers in chemically pure, Analytical reagent grade, IP BP USP Ph Eur EP JP and other pharmaceutical grade monograph including FCC Food grade chemicals and Nutraceuticals, Mineral Fortifiers at best prices.

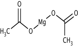
Magnesium Acetate Tetrahydrate Suppliers
Magnesium Acetate Tetrahydrate Structure

CAS Number 6674-78-5 Tetrahydrate, 142-72-3 Anhydrous Magnesium Acetate Tetrahydrate Anhydrous Manufacturer Exporter

ANMOL CHEMICALS INDUSTRIES Pvt. Ltd.
India, USA, Europe, UAE
TELEPHONE: 91-22-65290110
Navi Mumbai, INDIA

e-mail: info(At the rate i.e. @)anmol.org

Copyright. 1-apr-26

We manufacture:

Glacial Acetic Acid Manufacturer

Dihydroxyaluminum Aminoacetate

Ammonium Persulfate Exporter

Boric Acid

Calcium Acetate

Calcium Borogluconate

Calcium Gluceptate or Calcium Glucoheptonate

Calcium Glycerophosphate

Calcium Lactate

Calcium Lactobionate

Carbamide Peroxide

Cobalt Acetate

Eslicarbazepine Acetate

Flecainide Acetate

Formaldehyde Solution

Gliclazide

Gluconolactone

Glucuronolactone

Lactobionic Acid

Lithium Carbonate

Magnesium Acetate

Magnesium Borogluconate

Magnesium Butyrate

Magnesium Chloride

Magnesium Citrate

Potassium Aluminium Sulfate

Selenious Acid

Sodium Selenite

Sodium Formate

Vanadyl Sulfate