CAS Number 110638-68-1, Calcium Lactobionate USP FCC Food Grade Manufacturers Exporters

Home ------ Contact Anmol Chemicals Industries

Chemical Exporter Air Cargo JarPacked Chemicals Pail for Chemicals Carboys Jumbo packing

Calcium Lactobionate Manufacturers Exporters
CAS Number 110638-68-1, Calcium Lactobionate Manufacturer Exporter

For Properties Specifications of Calcium Lactobionate Click Properties, Specifications of Calcium Lactobionate Manufacturer.

For Uses of Calcium Lactobionate Click Uses of Calcium Lactobionate Manufacturer.

For For SDS MSDS Sheet of Calcium Lactobionate Click SDS Safety Data Sheet MSDS Sheet of Calcium Lactobionate Manufacturer.

The Properties and Specifications of Calcium Lactobionate:

Appearance: White powder.
Melting point: 190C literature.
Boiling point: 865C literature.


Calcium Lactobionate USP Grade Specifications
C24H42CaO24.2H2O -- 790.68
D-Gluconic acid, 4-O- -D-galactopyranosyl-, calcium salt (2:1), dihydrate.
Lactobionic acid, calcium salt (2:1), dihydrate.
Calcium lactobionate (1:2), dihydrate CAS Number 110638-68-1

DEFINITION
Calcium Lactobionate contains NLT 96.0% and NMT 102.0% of calcium lactobionate (C24H42CaO24-2H2O).

IDENTIFICATION
A. Identification Tests: General, Calcium: A 20 mg/mL solution meets the requirements.
B. Infrared Absorption
C. Thin Layer Chromatography

Halides: NMT 0.04%
Chloride and Sulfate, Sulfate: NMT 0.05%
Reducing Substances: To pass the test.
Acceptance criteria: NMT 1.0%
Optical Rotation, Specific Rotation: +22.0° to +26.5°
pH: Sample solution: 50 mg/mL
Acceptance criteria: 5.4–7.4
Packaging and Storage: Preserve in well-closed containers.

Calcium Lactobionate FCC Food Grade
Calcium 4-(_,D-Galactosido)-D-gluconate
C24H42CaO24 Formula weight, anhydrous 754.66
CAS Number 5001-51-4

DESCRIPTION
Calcium Lactobionate occurs as a white to cream-colored, free-flowing powder. It readily forms double salts, such as the chloride, bromide, and gluconate. It is anhydrous when obtained by spray-drying, or the dihydrate when obtained by crystallization. It is freely soluble in water, but insoluble in alcohol and in ether. It decomposes at about 120°. The pH of a 1:10 aqueous solution is between 6.5 and 7.5.
Function: Firming agent in dry pudding mixes; nutrient.

REQUIREMENTS
Labeling: Indicate whether the product has been obtained through spray-drying or from crystallization.

Identification
A. The infrared absorption spectrum of a potassium bromide dispersion of the sample, previously dried at 105C for 8 h, exhibits relative maxima at the same wavelengths as those of a similar preparation of USP Calcium Lactobionate Reference Standard.
B. A sample gives positive tests for Calcium.

Calcium Content: Not less than 5.05% and not more than 5.55% of calcium (Ca), calculated on the dried basis.
Halides: Not more than 0.04%.
Lead: Not more than 2 mg/kg.
Loss on Drying: Not more than 8.0%.
Optical (Specific) Rotation [α]D20C: Between +23° and +25°.
Reducing Substances: Not more than 1.0%.
Sulfate: Not more than 0.7%.


The Uses of Calcium Lactobionate:

Lactobionic acid (4-O-β-galactopyranosyl-D-gluconic acid) is a sugar acid. It is a disaccharide formed from gluconic acid and galactose. It can be formed by oxidation of lactose. Calcium lactobionate is a food additive used as a stabilizer. Calcium Lactobionate Monohydrate is a salt of lactobionic acid used as a food stabilizer and pharmaceutical ingredient. Calcium Lactobionate is used in dry pudding mixes, and mineral supplements. Calcium Lactobionate is an important drug intermediate used for the preparation of calcium tablets, supplement and injectables.

The MSDS-SDS Hazard Statement of Calcium Lactobionate:

Calcium Lactobionate SDS, Safety Data Sheet
MSDS Sheet, Material Safety Data Sheet

Section 1: Chemical Product and Identification

Product Name & Other Names: Calcium Lactobionate or Lactobionic acid calcium salt
CAS#: 110638-68-1
EINECS EC-No.: 225-668-2
Relevant uses and uses advised against (if any): Laboratory and Industrial Manufacturing.
SUPPLIER: As per letterhead.

Section 2: Hazards Identification

GHS, Globally Harmonized System Classification in accordance with 29 CFR 1910
Classification according to Regulation (EC) No 1272/2008

Not a hazardous substance or mixture according to Regulation (EC) No. 1272/2008.
This substance is not classified as dangerous according to Directive 67/548/EEC.

Labeling according to GHS & Regulation (EC) No 1272/2008

GHS Label Elements
NONE

Signal Word: None
Not considered hazardous by the OSHA Hazard Communication Standard (29 CFR 1910.1200)

Precautionary statements:
P261: Avoid breathing dust/fume/gas/mist/vapors/spray.
P302+P352: IF ON SKIN: Wash with plenty of soap and water.
P304+P340: IF INHALED: Remove victim to fresh air and keep at rest in a position comfortable for breathing.
P305+P351+P338: IF IN EYES: Rinse cautiously with water for several minutes. Remove contact lenses, if present and easy to do. Continue rinsing.
P337+313: If eye irritation persists get medical advice/attention.

Section 3: Composition and Information on Ingredients

Product Name & Other Names: Calcium Lactobionate or Lactobionic acid calcium salt
CAS#: 110638-68-1
EINECS EC-No.: 225-668-2

Section 4: First Aid Measures

Always seek medical attention after first aid measures are provided.

Eye Contact: In case of contact, immediately flush eyes with plenty of water for at least 15 minutes. Get medical attention.
Skin Contact: In case of contact, immediately flush skin with plenty of water. Cover the irritated skin with an emollient. Thoroughly clean shoes and clothes before reuse. Get medical attention.
Inhalation: If Calcium Lactobionate is inhaled, remove to fresh air. If not breathing, give artificial respiration. If breathing is difficult, give oxygen. Get medical attention.
Ingestion: Do NOT induce vomiting unless directed to do so by medical personnel. Never give anything by mouth to an unconscious person. If copious quantities of this material are swallowed, call a physician immediately.

Section 5: Fire and Explosion Data

Flammability of the Product: It may be combustible at elevated temperature.
Products of Combustion: Some metallic oxides CO CO2 and fumes.
Fire Fighting Media and Instructions:
Small Fire: Use DRY chemical powder.
Large Fire: Use water spray, fog, or foam. Avoid water jet.
Extinguishing Media Not recommended: Avoid using solid water jet as it may scatter the fire.
Special Information: In the event of a fire, wear full protective clothing and NIOSH-approved self-contained breathing apparatus with full face piece operated in the pressure demand or other positive pressure mode. At elevated temperatures under fire conditions, it may produce toxic or irritating fumes. Fire-extinguishing work is done from the windward and the suitable fire-extinguishing method according to the surrounding situation is used. Uninvolved persons should evacuate to a safe place.

Section 6: Accidental Release Measures

Personal precautions, protective equipment, and emergency procedures: Ventilate area of leak or spill. Avoid breathing dust/fumes/gas/mist/vapors/spray. Use individual protective equipment (waterproof boots, suitable protective clothing, safety glasses, etc.). Restrict unprotected personnel from the area. Prevent any contact with hot surfaces. Do not approach facing the wind.
Environmental precautions: Do not let the product enter drains, soil, or water sources.
Methods and materials used for containment cleanup procedures and Storage: Contain spilled material. Cover with an inert, non-combustible absorbent material, (e.g., sand, earth, diatomaceous earth, vermiculite). Vacuum or sweep-up and remove to an approved disposal container. Finish cleaning by spreading water on the contaminated surface and allow to drain as per law.

Section 7: Handling and Storage

Precautions for safe handling: Apply according to good manufacturing and industrial hygiene practices. Ensure proper ventilation. Wash thoroughly after handling. Do not drink, eat, or smoke while handling. Avoid contact with skin, eyes, and clothing. Minimize dust generation. Avoid breathing dust/fumes/gas/mist/vapors/spray. Use individual protective equipment (waterproof boots, suitable protective clothing, safety glasses, etc.). Prevent any contact with hot surfaces.
Conditions for safe storage, including any incompatibilities: Store in cool, dry, and ventilated area away from heat sources and protected from sunlight in tightly closed original container. Keep air contact to a minimum. Store protected from heat, sparks and ignition sources and incompatible materials. Do not store with incompatible materials like strong oxidizing agents.

Section 8: Exposure Controls/Personal Protection

Exposure Limits: Not established.
Engineering Controls:
Use process enclosures, local exhaust ventilation, or other engineering controls to keep airborne levels below recommended exposure limits.
Ventilation System: A system of local and/or general exhaust is recommended to keep employee exposures as low as possible.
Personal Respirators (NIOSH Approved): For conditions of use where exposure to dust or mist is apparent and engineering controls are not feasible, a particulate respirator may be worn.
Skin Protection: Wear protective gloves and clean body-covering clothing.
Eye Protection: Use chemical safety goggles and/or full-face shield where dusting or splashing of solutions is possible. Maintain eye wash fountain and quick-drench facilities in work area.
Other Control Measures: Maintain good housekeeping in work area. Handle in accordance with good industrial hygiene and safety practice. Wash hands after handling.

Section 9: Physical and Chemical Properties

Physical state and appearance: White solid. (Powdered solid. Crystalline powder.)
Odor: Odorless.
Odor threshold: No data found.
pH: No data found.
Relative density: No data found.
Melting Point: 190C
Initial boiling point and boiling range: No data found.
Flash point: No data found.
Auto-ignition temperature: No data found.
Decomposition temperature: No data found.
Upper/lower flammability or explosive limits: No data found.
Vapor pressure: No data found.
Vapor density: No data found.
Evaporation rate: No data found.
Flammability (solid, gas): No data found.
Partition coefficient: n-octanol/water: No data found.
Solubility: Insoluble in cold water, hot water. Almost insoluble in ethanol.
Viscosity: No data found.
Chemical Formula: C24H42CaO24-2H2O
Molecular Weight: 790.68

Section 10: Stability and Reactivity Data

Stability: It is stable.
Conditions of Instability: Excessive heat, dust generation
Incompatibility with various substances: Oxidizing Agents, heat, and sunlight.
Special Remarks on Reactivity: Releases water of crystallization when heated and decomposes.
Hazardous decomposition products formed under fire conditions: Carbon oxides, Calcium oxide.
Polymerization: Will not occur.

Section 11: Toxicological Information

Toxicity to Animals: No data found.
Carcinogenicity: No component of this product present at levels greater than or equal to 0.1% is identified as probable or confirmed human carcinogen by IARC, ACGIH, OSHA and NTP.
Mutagenic Effects: No data found.
Teratogenic Effects: No data found.
Environmental Toxicity: No data found.

Section 12: Ecological Information

Toxicity of the Products of Biodegradation: The product itself and its products of degradation are not toxic.
Results of PBT and vPvB assessment: This substance/mixture contains no components considered to be either persistent, bioaccumulative and toxic (PBT), or very persistent and very bio accumulative (vPvB) at levels of 0.1% or higher.

Section 13: Disposal Considerations

Waste Disposal: Waste must be disposed of in accordance legal regulations.

Section 14: Transport Information

DOT USA & TDG Canada: Not regulated.
ADR/RID Europe: Not regulated.
TDG/IMDG: Not regulated.
ICAO/IATA: Not regulated.

Section 15: Other Regulatory Information

USA:
SARA 311/312 Hazard Categories: See section 2.
California Proposition 65: Not listed.

Section 16 - Additional Information

DISCLAIMER: The information and recommendations set forth herein are presented in good faith and believed correct as of the date hereof. It is compiled from various sources, and it is not necessarily all inclusive nor fully adequate in every circumstance. In addition, these suggestions should not be confused with nor followed in violation of applicable laws, regulations, rules, or insurance requirements applicable. This MSDS sheet is intended only as a guide to the appropriate precautionary handling of the material by a professionally trained person using this product. Individuals receiving the information must exercise their independent judgment in determining its appropriateness for a particular purpose.

Anmol Chemicals Industries Ltd. is an off-shoot of Anmol Chemicals and Anmol Chemicals & Pharmaceuticals, Taloja. It is located in MIDC Taloja and it is manufacturing pharmaceutical grades of API, Excepients, Food grade and Reagent grade chemicals. Anmol Chemicals Industries Pvt. Ltd. is a several decades old group of companies, engaged in manufacturing, supplying, distributing, wholesale supplies for actual users, retail or small pack supplies for research and development chemicals, fine and speciality chemicals, pharmaceutical excipients, mineral fortifiers in chemically pure, Analytical reagent grade, IP BP USP Ph Eur EP JP and other pharmaceutical grade monograph including FCC Food grade chemicals and Nutraceuticals, Mineral Fortifiers at best prices.

Calcium Lactobionate Suppliers
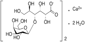
Calcium Lactobionate Structure

CAS Number 110638-68-1, Calcium Lactobionate Manufacturer Exporter

ANMOL CHEMICALS INDUSTRIES Pvt. Ltd.
India, USA, Europe, UAE
TELEPHONE: 91-22-65290110
Navi Mumbai, INDIA

e-mail: info(At the rate i.e. @)anmol.org

Copyright. 30-mar-26

We manufacture:

Glacial Acetic Acid Manufacturer

Ammonium Persulfate Exporter

Atorvastatin Calcium

Calcium Saccharate Supplier

Calcium Acetate

Calcium Ascorbate or Ascorbic Acid Calcium Salt

Calcium Borogluconate

Calcium Butyrate

Calcium Carbonate

Calcium Chloride

Calcium Citrate

Calcium Fructoborate

Calcium Glubionate

Calcium Gluconate

Calcium Gluceptate or Calcium Glucoheptonate

Calcium Glycerophosphate

Calcium Lactobionate

Calcium Pantothenate

Carbamide Peroxide

Celecoxib

Chromic Chloride

Clozapine

Formaldehyde Solution

Lithium Carbonate

Magnesium Chloride

Magnesium Borogluconate

Magnesium Gluconate

Magnesium Glycerophosphate

Magnesium Lactate

Manganese Borogluconate

Manganese Gluconate

Hydrated Manganese Glycerophosphate

Potassium Aluminium Sulfate

Selenious Acid

Sodium Selenite

Sodium Formate

Vanadyl Sulfate